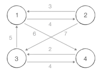
플로이드 와샬 Floyd Warshall 모든 정점에서 다른 모든 정점으로의 최단 경로를 구하는 알고리즘거쳐가는 정점을 기준으로 최단 거리를 구한다 플로이드 와샬 특징 1. 시작 정점과 도착 정점의 구분 없이 모든 경로에 대한 최단 경로를 구하는 데 사용된다2. 동적 계획법을 사용하여, 경로가 점차적으로 개선되면서 최단 경로를 찾는다3. 음수 가중치를 갖는 그래프에서도 동작하지만, 음수 사이클이 있으면 알고리즘이 제대로 동작하지 않는다 (음수 사이클 - 음수 가중치를 갖는 경로로 인해 무한히 작은 경로가 생기는 경우)4. 시간 복잡도 가 O(N^3) 으로, 정점의 수가 적을 때는 효율적이지만 정점 수가 많을 수록 비효율적일 수 있다 5. 인접 행렬로 표현하여 사용되며, 행렬의 각 값은 두 정점 사이의..