그래프를 탐색하는 방법에는
DFS 깊이 우선 탐색과 BFS 너비 우선 탐색이 있다
그래프에 대한 설명은 그래프 종류와 표현 방식에 정리해 놨다
1. DFS
Depth-First Search, 깊이 우선 탐색
최대한 깊이 내려가고, 더 이상 깊이 내려갈 곳이 없을 경우 옆으로 이동
모든 노드를 방문하는 경우에 사용한다
* 스택 또는 재귀를 이용해서 구현
시간 복잡도 - 인접 리스트 O(V+E), 인접 행렬 O(V^2)

DFS 기본 원칙
"앞으로 찾아 가야할 노드" 와 "이미 방문한 노드" 를 기준으로 데이터 탐색한다
경로 찾기, 탐색 문제, 백트래킹, 사이클 탐지 등에 유용하다
DFS 코드 구현

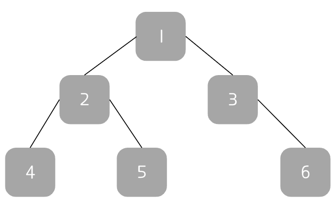
탐색 순서
1 - 2 - 4 - 5 - 3 - 6
4 방문 후 2로 백트래킹하여 5를 방문하고, 다시 2 - 1로 백트래킹하여 3과 6을 방문한다
1. 스택 자료 구조 이용
def dfs(graph, start):
# 방문 여부를 기록하는 리스트
visited = [False] * len(graph)
# 스택 초기화 (시작 노드 넣기)
stack = [start]
while stack:
# 스택에서 노드를 꺼냄
v = stack.pop()
# 방문하지 않았다면 방문 처리
if not visited[v]:
print(v, end=' ') # 방문하지 않았다면 방문 처리
visited[v] = True
# 연결된 노드를 스택에 추가
# stack 은 LIFO 기 때문에 역순으로 넣어야 DFS 순서와 일치
for neighbor in reversed(graph[v]):
if not visited[neighbor]:
stack.append(neighbor)
# 예시 그래프 (인접 리스트로 표현)
graph = [
[], # 0번 노드는 사용하지 않음 (노드 번호를 1부터 시작하기 위해)
[2, 3], # 1번 노드와 연결된 노드들
[4, 5], # 2번 노드와 연결된 노드들
[1, 6], # 3번 노드와 연결된 노드들
[2], # 4번 노드와 연결된 노드들
[2], # 5번 노드와 연결된 노드들
[3], # 6번 노드와 연결된 노드들
]
# DFS 비재귀적 호출
dfs(graph, 1)
# 줄바꿈
print()
# 결과 출력
# 1 2 4 5 3 6
스택에 추가할 때 주의할 점
not visited[neighbor] 인 노드를 역순으로 추가해준다
Stack 은 LIFO 구조이기 때문에 역순으로 추가해야 작은 번호인 노드부터 탐색하게 된다
2. 재귀 이용
# DFS 메서드 정의
def dfs(graph, v, visited):
# 현재 노드를 방문 처리
visited[v] = True
print(v, end = ' ')
# 현재 노드와 연결된 다른 노드를 재귀적으로 방문
for i in graph[v]:
# 인접 노드 중 아직 방문하지 않은 노드가 있다면 재귀 호출
if not visited[i]:
dfs(graph, i, visited)
# 각 노드가 연결된 정보를 리스트 자료형으로 표현 (2차원 리스트)
graph = [
[], # 0번 노드는 사용하지 않음 (노드 번호를 1부터 시작하기 위해)
[2, 3], # 1번 노드와 연결된 노드들
[4, 5], # 2번 노드와 연결된 노드들
[1, 6], # 3번 노드와 연결된 노드들
[2], # 4번 노드와 연결된 노드들
[2], # 5번 노드와 연결된 노드들
[3], # 6번 노드와 연결된 노드들
]
# 각 노드가 방문된 정보를 리스트 자료형으로 표현 (방문 기록)
visited = [False] * 7
# 정의된 DFS 함수 호출, 1번 노드부터 탐색 시작
dfs(graph, 1, visited)
2. BFS
Breadth-First Search, 너비 우선 탐색
최대한 넓게 이동하고, 더 이상 갈 수 없을 때 아래로 이동
시작 정점으로부터 가까운 정점을 먼저 방문하고 떨어져 있는 정점을 나중에 방문하는 순회 방법
주로 두 노드 사이의 최단 경로를 찾고 싶을 때 BFS 사용
* 큐를 이용해서 구현
시간 복잡도 - 인접 리스트 O(V+E), 인접 행렬 O(V^2)

BFS 기본 원칙
"현재 노드의 인접 노드" 를 기준으로 탐색한다
최단 경로 찾기, 레벨 탐색, 최소 이동 거리 계산 등에 유용하다
BFS 코드 구현

탐색 순서
1 - 2 - 3 - 4 - 5 - 6
0 레벨 (1) - 1 레벨 (2, 3) - 2 레벨 (4, 5, 6) 순으로 방문한다
1. 큐 구조 이용 (우선순위 큐 사용)
from collections import deque
def bfs(graph, start):
# 방문 여부를 기록하는 리스트
# 각 노드에 대해 방문했는지 여부를 표시
visited = [False] * len(graph)
# 큐 초기화 (시작 노드 넣기)
# deque 를 생성하기 위해 인자로 리스트를 전달
queue = deque([start])
while queue:
# 큐에서 노드를 꺼냄
v = queue.popleft()
# 방문하지 않았다면 방문 처리
if not visited[v]:
print(v, end=' ') # 방문하지 않았다면 방문 처리
visited[v] = True # 방문한 노드 표시
# 연결된 노드를 큐에 추가
for neighbor in graph[v]:
if not visited[neighbor]: # 아직 방문하지 않은 이웃 노드
queue.append(neighbor) # 이웃 노드를 큐에 추가
if __name__ == '__main__':
# 예시 그래프 (인접 리스트로 표현)
graph = [
[], # 0번 노드는 사용하지 않음 (노드 번호를 1부터 시작하기 위해)
[2, 3], # 1번 노드와 연결된 노드들
[4, 5], # 2번 노드와 연결된 노드들
[1, 6], # 3번 노드와 연결된 노드들
[2], # 4번 노드와 연결된 노드들
[2], # 5번 노드와 연결된 노드들
[3], # 6번 노드와 연결된 노드들
]
# BFS 비재귀적 호출
bfs(graph, 1)
# 줄바꿈
print()
# 결과 출력
# 1 2 3 4 5 6
dfs 와 달리, 큐 (스택) 초기화 시 queue = deque([start]) 처럼 괄호를 넣는 이유
deque 는 deque 객체를 생성하는데 사용되며, 초기화할 때 인자로 iterable 한 자료 구조 (리스트, 튜플 등) 을 받는다
괄호 없이 deque 를 사용하면 start 노드 하나만으로 deque 를 만들 수 없기 때문에, 괄호 안에 리스트 형태로 제공해준다
'TIL > Python' 카테고리의 다른 글
| [TIL] 다익스트라 Dijkstra (0) | 2024.09.23 |
|---|---|
| [TIL] 위상 정렬 Topology Sort (0) | 2024.09.23 |
| [TIL] 그래프 종류와 표현 방식 (1) | 2024.09.20 |
| [TIL] 클래스와 객체 (2) | 2024.09.20 |
| [TIL] 이진 트리 순회 (2) | 2024.09.20 |